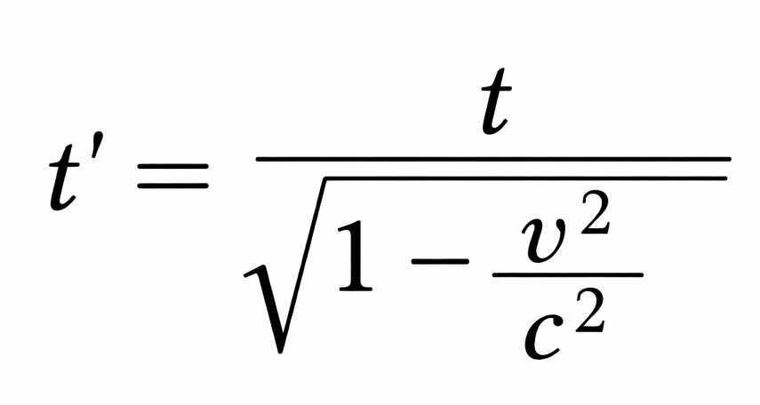
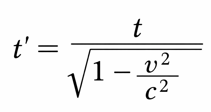
formula Publicado abril 10, 2026 en 855 × 456 en ¿Qué hay de real en Proyecto Hail Mary? La ciencia detrás de la película. « Anterior