«La imaginación a menudo nos llevará a mundos que nunca existieron. Pero sin ella no vamos a ninguna parte.» – Carl Sagan.
Hace unos días hablábamos por aquí de petróleo, tensiones geopolíticas y mercados energéticos. Hoy nos vamos al mundo del cine.
Y lo hacemos con Proyecto Hail Mary, la adaptación de la novela de Andy Weir, una película que está teniendo una gran repercusión y que, además, conecta mucho más con el tema de la energía de lo que parece. El propio título ya apunta en esa dirección: “Hail Mary” hace referencia a ese último intento desesperado, cuando ya no queda margen de error.
A mí, personalmente, me encantó… y por eso tenía ganas de traerla al blog. Como ya sabes si llevas tiempo por aquí, en este espacio también nos gusta salirnos de vez en cuando del guion, explorar otros temas y mirarlos siempre desde el prisma de la química.
Evidentemente, en un post como este no se puede cubrir todo lo que desarrolla la novela, ni tampoco todo lo que se rodó para la película. De hecho, el primer montaje llegó a durar cerca de cuatro horas antes de ser recortado para su estreno. Eso ya da una idea de la cantidad de detalles y matices que inevitablemente se quedan fuera.
Y es que la intención aquí no es tanto replicar la historia al completo, sino analizar algunos de sus conceptos clave.
Porque, más allá de la trama, todo gira en torno a algo inquietante: ¿qué pasaría si nuestra principal fuente de energía empezara a fallar?
Y, sobre todo, ¿hasta qué punto lo que plantea la película es realmente posible?
Eso sí, si aún no la has visto y tienes intención de hacerlo, mejor guarda este post para después, porque hay spoilers.
Sin más preámbulos, te cuento qué hay de cierto en lo que presenta esta joya cinematográfica.
Cuando la energía deja de estar garantizada.
La premisa de la película es sencilla, pero inquietante: el Sol está perdiendo intensidad.
Desde el punto de vista científico, esto nos lleva directamente a la fusión nuclear, el proceso que alimenta al Sol. En su núcleo, átomos de hidrógeno se fusionan para formar helio, liberando enormes cantidades de energía. Es un sistema extremadamente estable.
¿Podría fallar de forma repentina como plantea la película? En términos reales, no. Estos procesos ocurren en escalas de millones de años, no de semanas o meses.
Aun así, la idea funciona porque apunta a una cuestión de fondo: qué ocurre cuando la fuente principal de energía deja de ser fiable.
La base científica del funcionamiento del Sol está bien planteada. Lo que no resulta realista es la rapidez con la que se produce ese cambio.
Los astrófagos: entre la química y la ficción.
Uno de los elementos más interesantes son los astrófagos, unos microorganismos capaces de absorber, almacenar y transportar energía con una eficiencia extraordinaria.
En la historia, su comportamiento es clave: se concentran alrededor de las estrellas, donde consumen energía estelar para reproducirse, provocando una pérdida progresiva de luminosidad.
Sin embargo, no todas las estrellas se ven afectadas. El caso de Tau Ceti resulta fundamental, ya que se mantiene estable, lo que sugiere que existe algún mecanismo capaz de limitar este proceso y convierte ese sistema en el destino de la misión.
Desde el punto de vista científico, la película combina conceptos reales con un alto grado de especulación. En la naturaleza existen organismos capaces de capturar energía, como las plantas mediante la fotosíntesis o ciertas bacterias que aprovechan fuentes químicas en entornos extremos. Sin embargo, lo que plantea aquí va un paso más allá.
Un organismo capaz de absorber, almacenar y transportar energía con esa eficiencia no tiene equivalente conocido. Aun así, la idea conecta con un reto muy real: mejorar la captura, el almacenamiento y el transporte de energía, uno de los grandes desafíos actuales.
En ese sentido, la película acierta al situar la energía en el centro del problema. Donde se aleja de la realidad es en la escala y la eficiencia que atribuye a este organismo, muy por encima de lo que permite la ciencia hoy en día.
Vida en condiciones extremas: Rocky, Erid y la química de lo posible.
Uno de los aspectos más interesantes de Proyecto Hail Mary es la relación entre Grace y Rocky, un organismo procedente del planeta Erid, cuyas condiciones no tienen nada que ver con las de la Tierra.
Rocky vive en un entorno con altas temperaturas, presiones elevadas y una atmósfera rica en amoníaco, muy alejada de la química basada en oxígeno. Aunque no conocemos vida así, la idea no es descabellada: la vida depende de reacciones químicas capaces de sostener un metabolismo estable, y esas reacciones pueden ser muy distintas según el entorno.
Grace no es un especialista en vida extraterrestre, pero entiende algo clave: la vida puede adoptar formas muy distintas a las terrestres, una idea bien conocida en astrobiología.
En la Tierra existen microorganismos anaerobios para los que el oxígeno no solo no es necesario, sino que resulta tóxico, debido a su alta reactividad. Esto se refleja bien cuando Rocky abandona su entorno controlado para ayudar a Grace. Su exposición al oxígeno representa un riesgo real, coherente con lo que sabemos de organismos adaptados a entornos completamente distintos.
La convivencia entre ambos obliga a recrear condiciones específicas para cada uno. En el caso de Grace, esto se materializa en Erid con la construcción de un entorno aislado, una especie de “domo” con condiciones compatibles con la vida humana. Desde el punto de vista científico, la idea es conceptualmente sólida: cuando la química de la vida no es compatible, la única opción es adaptar el entorno.
En la práctica, algo así no es imposible, pero sí extremadamente complejo. Implicaría controlar de forma precisa la composición de la atmósfera, la temperatura, la presión y la estabilidad de los materiales en un entorno completamente hostil. En la Tierra ya utilizamos sistemas cerrados y atmósferas controladas, pero trasladar esto a otro planeta y mantenerlo de forma estable en el tiempo supondría un desafío tecnológico enorme.
La incompatibilidad química entre entornos está bien representada. Sin embargo, la existencia de vida compleja basada en una química tan distinta como la del amoníaco sigue siendo especulativa.
Hibernación, genética y supervivencia.
Otro elemento interesante es el uso de hibernación durante el viaje.
Grace y su tripulación permanecen en un estado de suspensión prolongada. Esto no es posible hoy en humanos, pero sí existe en muchos animales, y se investiga en medicina y exploración espacial.
En la historia, Grace sobrevive gracias en parte a una modificación genética previa.
Desde el punto de vista científico, esto no depende de un único “gen”, sino de un conjunto complejo de procesos que regulan el metabolismo, protegen los tejidos y evitan daños celulares.
La idea de utilizar la hibernación como solución para viajes largos tiene base científica. Sin embargo, la simplificación de todo el proceso en una única modificación genética está muy lejos de la realidad actual.

Despertar tras la hibernación, una estrategia clave para afrontar viajes interestelares de larga duración.
Viajar cerca de la velocidad de la luz: relatividad y tiempo.
Aquí nos movemos más en el terreno de la física, pero merece la pena incluirlo porque es fundamental para entender el viaje.
La nave se desplaza a cerca del 92% de la velocidad de la luz, lo que introduce uno de los pilares de la física moderna: la relatividad especial.
A estas velocidades, el tiempo no transcurre igual para todos. Este fenómeno, conocido como dilatación del tiempo, implica que para los tripulantes el tiempo pasa más lento que para alguien que permanece en la Tierra.
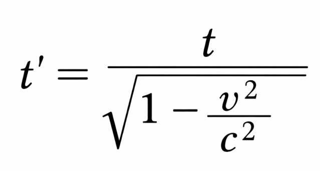
Este efecto se describe mediante la siguiente relación:
Donde t es el tiempo medido desde la Tierra, t′ el tiempo experimentado a bordo, v la velocidad de la nave y c la velocidad de la luz.
En la historia, esto se refleja de forma bastante clara. El viaje hasta Tau Ceti, situado a unos 12 años luz, dura cerca de 13 años visto desde la Tierra, pero para Grace se reduce a aproximadamente 5 años de tiempo propio.
No es un recurso de ciencia ficción, sino una consecuencia directa de las ecuaciones de Einstein. Sin embargo, esto no significa que sea algo viable hoy. Alcanzar esas velocidades requeriría cantidades de energía enormes, muy por encima de nuestras capacidades actuales, además de resolver problemas como la radiación o el impacto de partículas a velocidades relativistas.
En este punto, la película se apoya en un fenómeno físico real y bien establecido. Eso sí, su impacto se simplifica, ya que el protagonista pasa gran parte del viaje en hibernación y no experimenta directamente esa diferencia temporal.
Al final, todo vuelve a la energía.
Cambiar de escenario no cambia el fondo.
Aquí en la Tierra o a escala estelar, todo gira en torno a lo mismo: cómo obtenemos energía, cómo la almacenamos y qué ocurre cuando empieza a faltar.
Y en todo eso, la química tiene mucho que decir.
Tú que me lees, ¿qué te ha parecido la película? ¿Crees que la ciencia está bien planteada?
Sin más que añadir, (como siempre) gracias por leerme, y… ¡Hasta la próxima!



